该帮助的版本不再更新,请参见https://www.jmp.com/support/help/zh-cn/15.2 获取最新的版本.


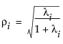
其中,λi 是计算多元检验统计量所使用的 E-1H 矩阵的第 i 个特征值
标记为“特征向量”的矩阵是 V 矩阵,该矩阵是给定检验的 E-1H 的特征向量矩阵。
注意:给定检验的 EH 矩阵指的是初始 EH 矩阵中的 M‘EMM‘HMM 矩阵由响应设计定义。本节中使用的 EH多元检验中定义。
效应j =
N 是观测数
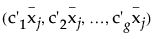
viV(即给定检验的 E-1H 特征向量矩阵)的第 i 列。
是第 j 个效应的多元最小二乘均值
g 是大于 0 的 E-1H 的特征值数
rX 矩阵的秩
注意:给定检验的 EH 矩阵指的是初始 EH 矩阵中的 M‘EMM‘HMM 矩阵由响应设计定义。本节中使用的 EH多元检验中定义。
其中,g 是大于 0 的 E-1H 的特征值数,分母中的 L 矩阵来自多元最小二乘均值计算。
Y 是响应变量矩阵
M’ 是转置的响应设计矩阵
V 是给定检验的 E-1H 的特征向量矩阵
注意:给定检验的 EH 矩阵指的是初始 EH 矩阵中的 M‘EMM‘HMM 矩阵由响应设计定义。本节中使用的 EH多元检验中定义。