|
1.
|
|
2.
|
选择分析 > 拟合模型。
|
|
3.
|
|
4.
|
|
5.
|
点击运行。
|
|
‒
|
|
‒
|
|
‒
|
|
‒
|
|
‒
|
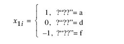
εi 是相互独立的服从正态分布的误差项
|
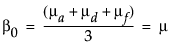
因此,若回归变量编码为每个水平的指标变量减去最后一个水平的指标变量,那么可以将某个水平的参数解释为该水平的响应与所有水平下的平均响应之间的差值。请参见附录第 431 页的“统计详细信息”,获取有关名义型因子的参数解释的更多信息。
图 4.1 “药物”的“杠杆图”和“最小二乘均值表”
图 4.2 Drug.jmp 的“参数估计值”和“效应检验”
使用最小二乘均值的对比可以更详尽地研究药物效应,如下所述:
|
1.
|
|
3.
|
点击完成。
|
图 4.3 药物实验的对比示例
“对比”报表显示药物 f 的最小二乘均值与其他两种药物的最小二乘均值的平均值存在显著差异。






(各水平下的平均值)



