|
1´
|
||
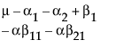
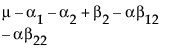
使用 JMP 拟合模型命令并请求列 A 和 B 的析因模型将得到以下设计矩阵。请注意该矩阵中的 A13 是上一矩阵中的 A1–A3。但是,当前矩阵中 A13B13 是 A13*B13。
在将所有其他因子设置为某个中性值后,最小二乘均值是对应于某个水平组合的预测值。直接连续回归变量的中性值定义为样本均值。具有未涉及的名义型因子的效应的中性值定义为水平上所取的平均效应(它导致我们的编码中全部为零)。在有序型最小二乘均值中,有序型因子使用另一中性值。最小二乘均值可能无法估计,若无法估计,将它们标记为无法估计。在不使用权重的情况下,JMP 中的最小二乘均值与 SAS PROC GLM (Goodnight and Harvey 1978) 中的最小二乘均值一致。使用权重变量时,JMP 对中性值使用加权均值而 SAS PROC GLM 使用未加权均值。
|
•
|
|
•
|
存在线性相依性时,参数的最小二乘解可能不是唯一的,无法执行一些假设检验。当发现参数的设计列与模型中前面的效应是线性相依时,JMP选择的策略是按顺序将参数估计值设置为零。报表中的特殊列显示哪些参数估计值清零以及可以估计哪些参数估计值。单独的奇异性报表显示存在哪些线性相依性。
|
a1
|
||
|
a2
|
||
|
b1
|
||
|
ab11
|
||
|
ab21
|
|
4.
|
这些检验是整体边缘检验,即它们始终完全涵盖交互作用中的其他效应。
|
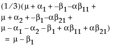
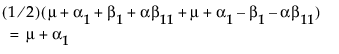
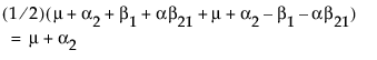
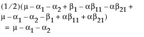
图 A.1 单元格均值的期望值
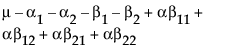
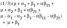
GLM 和 JMP 假设的比较显示采用 GLM 参数的主效应 A 的检验。第一个列集是 JMP 执行的检验。第二个列集是 GLM 类型 IV 执行的检验。第三个列集等价于 JMP 执行的检验,它是前两列与以下矩阵相乘得到的:




























