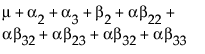
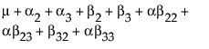
请注意,μ 是 A = 1 处的期望响应,μ + α2 是 A = 2 处的期望响应,μ + α2 + α3 是 A = 3 处的期望响应。因此,α2 估计从 A = 1 移到 A = 2 的效应,α3 估计从 A = 2 移到 A = 3 的效应。
请注意,A 的主效应检验实际上检验 B 固定在第一个水平时的 A 水平。类似地,B 的主效应检验将 A 固定在第一个水平下在 B 的各个水平的顶部行之间检验。该检验适用于两个因子是不同治疗的剂量的实验。主要问题是每个治疗本身的效力,当采用两种药物的剂量时,很少有人关注药物交互作用。在某些情况下,每种药物采用大剂量还可能是危险的。
图 A.2 名义型拟合(左)和有序型拟合(右)的汇总信息
图 A.3 名义型拟合(左)和有序型拟合(右)的参数估计值
名义型的效应检验损失自由度。在 B 中,没有检验。对于有序型,没有损失,因为对于基本的第一个水平没有缺失单元格。
图 A.5 名义型拟合(左)和有序型拟合(右)的效应检验
最小二乘均值也不同。有些名义型 LSM 不可估计,但是有序型 LSM 都可以估计。您可以通过查看单元格均值来验证这些值。请注意 A*B LSM 对于名义型和有序型是相同的。图 A.6显示名义型和有序型拟合的最小二乘均值。
图 A.6 名义型拟合(左)和有序型拟合(右)的最小二乘均值














