JMP 14.2 联机文档
发现 JMP
使用 JMP
基本分析
基本绘图
刻画器指南
实验设计指南
拟合线性模型
预测和专业建模
多元方法
质量和过程方法
可靠性和生存方法
消费者研究
Scripting Guide
JSL Syntax Reference
该帮助的版本不再更新,请参见
https://www.jmp.com/support/help/zh-cn/15.2
获取最新的版本.
多元方法
•
相关性和多元方法
•
计算和统计详细信息
• Pearson 乘积矩相关系数
上一个
•
下一个
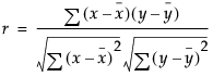
Pearson 乘积矩相关系数
Pearson 乘积矩相关系数测量两个变量之间线性关系的强度。对于响应变量
X
和
Y
,该系数表示为
r
,计算公式如下所示
若两个变量之间存在精确线性关系,则相关系数为 1 或 –1,具体取决于变量之间是正相关还是负相关。若不存在线性关系,则相关系数趋向于 0。