Spearman ρ (rho) 系数
|
•
|
|
•
|
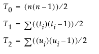
n 是观测数。
|
|
•
|
|
•
|
|
•
|
|
•
|
|
•
|
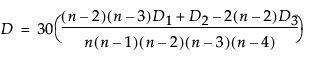
若观测中没有结值,D 统计量的值介于 –0.5 和 1 之间,其中 1 指示完全依赖。若指定了权重变量,则忽略该统计量。



