Ȳ 是均值行
n = 观测数
p = 变量(列)数
= Beta
分布的第 (1–α) 分位数n = 观测数
p = 变量(列)数
T2 距离测度
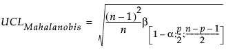
T2 距离的上控制限为:
n = 观测数
p = 变量(列)数
= Beta
分布的第 (1–α) 分位数



