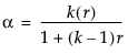
Cronbach α 值
Cronbach α 值定义如下
k = 尺度范围中的项目数
c = 项目之间的平均协方差
v = 项目之间的平均方差
r = 项目之间的相关性平均值
总体 α 系数越大,您越能够自信地认为您的项目对尺度或检验的信度有贡献。若有许多高度相关的项目,该系数可能接近 1.0。

其中