JMP 14.2 联机文档
发现 JMP
使用 JMP
基本分析
基本绘图
刻画器指南
实验设计指南
拟合线性模型
预测和专业建模
多元方法
质量和过程方法
可靠性和生存方法
消费者研究
Scripting Guide
JSL Syntax Reference
该帮助的版本不再更新,请参见
https://www.jmp.com/support/help/zh-cn/15.2
获取最新的版本.
多元方法
•
判别分析
•
“判别分析”平台的技术详细信息
• 近似 F 检验
上一个
•
下一个
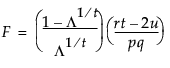
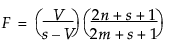
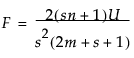
近似 F 检验
为了计算
F
值和自由度,用
p
表示
的秩。 用
q
表示
的秩,其中
L
矩阵标识与要检验的效应关联的
的元素。用
v
表示误差自由度,用
s
表示
p
和
q
中的最小项。还假定
和
。
近似
F
统计量
列出了从相应的检验统计量如何计算每个近似 F 值。
近似
F 统计量
检验
近似 F
分子自由度
分母自由度
Wilks Lambda
Pillai 迹
Hotelling-Lawley 迹
Roy 最大根