JMP 14.2 联机文档
发现 JMP
使用 JMP
基本分析
基本绘图
刻画器指南
实验设计指南
拟合线性模型
预测和专业建模
多元方法
质量和过程方法
可靠性和生存方法
消费者研究
Scripting Guide
JSL Syntax Reference
该帮助的版本不再更新,请参见
https://www.jmp.com/support/help/zh-cn/15.2
获取最新的版本.
多元方法
•
判别分析
•
“判别分析”平台的技术详细信息
• 组间协方差矩阵
上一个
•
下一个
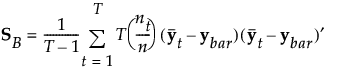
组间协方差矩阵
使用
“保存公式”选项给出的公式符号
中的符号,按以下方式定义该矩阵: