JMP 14.2 联机文档
发现 JMP
使用 JMP
基本分析
基本绘图
刻画器指南
实验设计指南
拟合线性模型
预测和专业建模
多元方法
质量和过程方法
可靠性和生存方法
消费者研究
Scripting Guide
JSL Syntax Reference
该帮助的版本不再更新,请参见
https://www.jmp.com/support/help/zh-cn/15.2
获取最新的版本.
预测和专业建模
•
非线性回归
•
“非线性”平台的统计详细信息
• 定制损失函数的工作机制
上一个
•
下一个
定制损失函数的工作机制
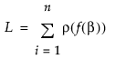
除了默认的残差平方和函数,非线性工具还可以最小化或最大化其他损失函数。本节将说明它的数学过程。
假定
f
(
β
) 为模型。然后“非线性”平台尝试最小化以下形式的损失函数之和:
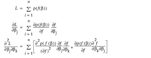
每行的损失函数
可以是数据表中其他变量的函数。它必须具有非零的一阶和二阶导数。默认
函数(残差平方)为:
要指定使用定制损失函数的模型,请在数据表中构造一个变量并生成损失函数。在启动“非线性”平台后,选择包含损失函数的列作为损失变量。
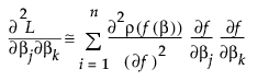
按如下所示,通过对模型的
求二阶导数并生成梯度和近似 Hessian,得到非线性最小化公式:
若
的参数具有线性关系,则最后一个等式中的第二项为零。若不具有线性关系,您仍可以希望其和相对于第一项而言较小,并使用
若
ρ
是残差平方,则第二项可能很小,因为残差和很小。若有截距项,则第二项为零。对于最小二乘法,该项可以区分 Gauss-Newton 和 Newton-Raphson。
注意:
仅当执行最小二乘估计或使用最大似然估计并且负对数似然值合理时,标准误差、置信区间和假设检验才正确。