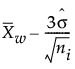
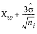
JMP 会为均值图和 R 图生成控制限,如下所示:
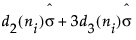
R 图的下控制限 =

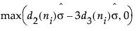
R 图的上控制限 =

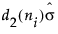
均值/R 图的标准差估计如下:
σ = 过程标准差
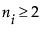
N 是
的子组数
的子组数

,其中
是 
= 子组均值的加权平均值