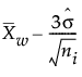
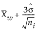
JMP 会为均值图和 S 图生成控制限,如下所示:
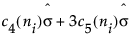
S 图的下控制限 =

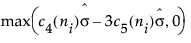
S 图的上控制限 =

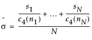
均值/S 图中的标准差估计值为:
σ = 过程标准差
N 是
的子组数
的子组数

,其中
是 
= 子组均值的加权平均值