JMP 14.2 联机文档
发现 JMP
使用 JMP
基本分析
基本绘图
刻画器指南
实验设计指南
拟合线性模型
预测和专业建模
多元方法
质量和过程方法
可靠性和生存方法
消费者研究
Scripting Guide
JSL Syntax Reference
该帮助的版本不再更新,请参见
https://www.jmp.com/support/help/zh-cn/15.2
获取最新的版本.
质量和过程方法
•
控制图生成器
•
“控制图生成器”平台的统计详细信息
• 单个测量值图和移动极差图的控制限
上一个
•
下一个
单个测量值图和移动极差图的控制限
单个测量值图的控制限计算如下:
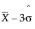
单个测量值图的下控制限 =
单个测量值图的上控制限 =
移动极差图的控制限计算如下:
移动极差图的下控制限 =0
移动极差图的上控制限 =
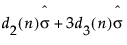
单个测量值图和移动极差图的标准差估计如下:
其中:
X̄
= 单个测量值的均值
MR
= 非缺失移动极差的均值,计算方式为 (
MR
2
+
MR
3
+...+
MR
N
)/(
N-1)
,其中
MR
i
= |x
i
- x
i-1
|
。
σ
= 过程标准差
d
2
(
n
) = 服从单位标准差正态分布的
n
个自变量的极差的期望值
d
3
(
n
) = 服从单位标准差的正态总体中的
n
个独立观测的极差的标准差。
注意:
“控制图生成器”平台中的移动极差图使用
n
=2 的极差跨度。