若要检测的偏移 δ 为正,第 t 个子组的累积和计算如下:
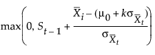
t = 1, 2,..., n,其中 S0 = 0,zt 针对双侧图定义,参数 k(称为参考值)为正数。若未在启动窗口中指定参数 k,则将 k 设置为 δ/2。将 CUSUM St 称为上累积和。St 可计算如下:
若要检测的偏移为负,第 t 个子组的累积和计算如下:
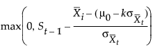
t = 1, 2,..., n,其中 S0 = 0,zt 针对双侧图定义,参数 k(称为参考值)为正数。若未在启动窗口中指定参数 k,则将 k 设置为 δ/2。CUSUM St 称为下累积和。St 可计算如下:
Lucas and Crosier (1982) 描述了 CUSUM 图的快速初始响应 (FIR) 功能的属性,其中的初始 CUSUM S0 设置为“起始值”。他们给出的平均运行链长计算表明 FIR 功能在过程受控时影响极小,所以这导致对初始失控状况的响应速度比标准 CUSUM 图更快。您可以在启动窗口“CUSUM 图的已知统计量”区域中提供“初始值”。
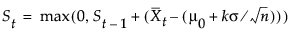
若子组样本大小为常数 (= n),最好按照与数据相同的单位来调整和计算累积和。累积和计算如下:
其中,δ > 0




重新调整尺度。若未在启动窗口中指定参数
则指示偏移。某些作者用符号