JMP 14.2 联机文档
发现 JMP
使用 JMP
基本分析
基本绘图
刻画器指南
实验设计指南
拟合线性模型
预测和专业建模
多元方法
质量和过程方法
可靠性和生存方法
消费者研究
Scripting Guide
JSL Syntax Reference
该帮助的版本不再更新,请参见
https://www.jmp.com/support/help/zh-cn/15.2
获取最新的版本.
质量和过程方法
•
V 形模板 CUSUM 控制图
•
V 形模板 CUSUM 控制图的统计详细信息
• 双侧 CUSUM 图
上一个
•
下一个
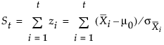
双侧 CUSUM 图
若 CUSUM 图为双侧,为第
t
个子组标绘的累积和
S
t
如下所示:
S
t
=
S
t - 1
+
z
t
t
= 1, 2,...,
n
。此处的
S
0
=0,项
z
t
计算如下:
其中,
X̅
t
是第
t
个子组的平均值,
n
t
是第
t
个子组的样本大小。若子组样本由单个测量值
x
t
构成,项
z
t
简化为以下计算:
z
t
= (
x
t
–
μ
0
)/
σ
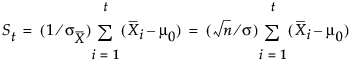
第一个方程可重写为以下形式:
其中,序列
S
t
对距离目标均值
μ
0
的子组平均值标准差进行累积。
在许多应用中,子组样本大小
n
i
为常数 (
n
i
=
n
),
S
t
的方程可简化如下:
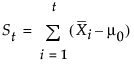
在某些应用中,最好按如下方式计算
S
t
:
该式按照与数据相同的单位来调整尺度。在这种情况下,过程将 V 形模板参数
h
和
k
的尺度分别重新调整为
和
。某些作者用符号
F
代替
k
',用
H
代替
h
'。
若过程处于受控状态且均值
μ
达到目标
μ
0
或接近该目标,则采用随机漫步模型。因此,点可能离开零,但是不会呈现大的趋势,因为距离
μ
0
的正偏移量和负偏移量趋近于彼此抵消。若
μ
具有正向偏移量,则点呈现向上趋势;若
μ
具有负向偏移量,则点呈现向下趋势。