JMP 14.2 联机文档
发现 JMP
使用 JMP
基本分析
基本绘图
刻画器指南
实验设计指南
拟合线性模型
预测和专业建模
多元方法
质量和过程方法
可靠性和生存方法
消费者研究
Scripting Guide
JSL Syntax Reference
该帮助的版本不再更新,请参见
https://www.jmp.com/support/help/zh-cn/15.2
获取最新的版本.
质量和过程方法
•
CUSUM 控制图
•
“CUSUM 控制图”平台的统计详细信息
• CUSUM 控制图构造的统计详细信息
上一个
•
下一个
CUSUM 控制图构造的统计详细信息
本节定义构造 CUSUM 图时所用的统计量。其中一些统计量还保存在使用“保存汇总”命令创建的数据表中。
单侧上下累积和
C
+
和
C
-
的定义依赖于“数据单位”选项的设置。
注意:
在“保存汇总”数据表中,
C
+
和
C
-
分别标记为
上累积和
和
下累积和
。
采用标准化单位的累积和
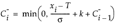
若未选定“数据单位”选项,每一步的
C
+
和
C
-
定义如下:
其中:
x
i
是第
i
步的响应的值
T
是过程目标
σ
是过程的标准差
k
是参考值,以标准差为单位
若为“起始值”指定了某个值,该值将用作初始
C
+
值,而该值的负值用作初始
C
-
值。否则,
C
+
和
C
-
的初始值为零。
采用数据单位的累积和
若选定“数据单位”选项,每一步的
C
+
和
C
-
定义如下:
其中:
x
i
是第
i
步的响应的值
T
是过程目标
σ
是过程的标准差
k
是参考值,以数据为单位
若为“起始值”指定了某个值,该值将用作初始
C
+
值,而该值的负值用作初始
C
-
值。否则,
C
+
和
C
-
的初始值为零。
正负试验的计数器
每一步的
N
+
都是自
C
+
的最近一个零值以来的步骤数。每一步的
N
-
都是自
C
-
的最近一个零值以来的步骤数。
注意:
在“保存汇总”数据表中,
N
+
和
N
-
分别标记为
正试验数
和
负试验数
。