JMP 14.2 联机文档
发现 JMP
使用 JMP
基本分析
基本绘图
刻画器指南
实验设计指南
拟合线性模型
预测和专业建模
多元方法
质量和过程方法
可靠性和生存方法
消费者研究
Scripting Guide
JSL Syntax Reference
质量和过程方法
•
变异性量具图
•
变异性图的统计详细信息
• 分辨力比的统计详细信息
上一个
•
下一个
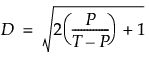
分辨力比的统计详细信息
分辨力比比较测量值的总方差
M
与测量值误差的方差
E
。计算所有主效应(包括嵌套的主效应)的分辨力比。按以下方式计算分辨力比
D
:
其中:
P
= 因子的估计方差
T
= 估计的总方差