|
1.
|
|
2.
|
|
3.
|
图 5.8 “模拟配置”面板
|
4.
|
为分布选择“指数”。
|
|
5.
|
为 b0 输入 10。
|
|
6.
|
为 b1 输入 -18。
|
|
7.
|
(可选)为随机种子输入 14678。
|
|
8.
|
点击模拟。
|
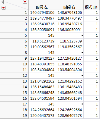
图 5.9 模拟的部分结果
图 5.9显示了模拟数据表的部分列表。模式 ID 为 1 的应力模式仅定义了至多 145 个时间单位。由于启动窗口中的“模式配置”设置设置为“终止”,针对应力模式 1,模拟将删失 145 处的所有模拟值。

