对于非区间删失的数据,初始报表显示“汇总”和“分位数”数据(图 13.15)。“汇总”数据显示每个组(存在组的情况下)和整个研究的失效数以及删失观测数。还针对删失调整了均值和标准差。有关这些统计量的计算详细信息,请参见《SAS/STAT 14.3 User’s Guide》中的“LIFETEST 过程”一章 (2017)。
“分位数”数据显示单个组和合并组的失效时间统计量,其中包括中位数生存时间(带 95% 置信上限和置信下限)。中位数生存时间是一半对象失效时的时间(天数)。还包括四分位数生存时间(25% 和 75%)。
图 13.15 一元生存分析的汇总统计量
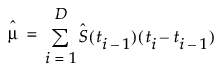
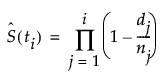
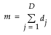
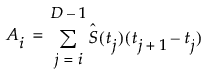
D 是不同的事件时间数
t0 定义为 0
有多个组时,“组间检验”表会提供各组的齐性统计检验。Kalbfleisch and Prentice (1980, ch. 1)、Hosmer and Lemeshow (1999, ch. 2) 和 Klein and Moeschberger (1997, ch. 7) 讨论了生存曲线的统计量和比较。
图 13.16 组间检验
图 13.17显示了一个组的乘积限生存函数估计值的示例。
图 13.17 “生存估计值”表的示例

,其标准误差为
,
,
且
。
是时间 
