您可以创建支持超越函数的公式,这些函数包括以任意数为底的对数函数、用于组合计算的函数,Beta 函数和若干 gamma 函数等。有关语法的详细信息,请参见《脚本指南》中的“Transcendental Functions”。
计算自然对数(底数为 e)。要更改默认底数,请突出显示该参数并键入一个逗号或点击小键盘上的插入键。将显示可编辑的底数。Log 参数可以为任意数值表达式。表达式 Log(e) 的求值结果为 1,Log(32,2) 的求值结果为 5。Log10 函数仅计算底数为 10 的对数。
根据指数的指定计算参数的根。Root 初始显示指数 2。要更改指数,请突出显示指数参数并输入所需的值。
返回 1 到您指定的参数之间所有数的乘积。例如,Factorial(5) 求值结果为 120。
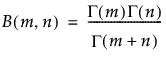
添加双参数 Beta 函数,用 Gamma 函数表示为:
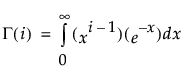
单参数的 Gamma 与 Gamma(x, infinity) 相同。可选的第二个参数将整数上限从无限大更改为您输入的值。其他相关 gamma 函数关系为:
|
•
|
|
•
|
|
•
|
Γ(0.5) = π 的平方根
|
是 gamma 函数求值结果的自然对数。对 Gamma 函数进行 Log(自然对数)可以得到相同的结果。但是,LGamma 函数的计算效率比 Log(自然对数)和 Gamma 函数结合使用的效率高。使用 LGamma 函数实施 NChooseK。结果并不总是精确的整数。若结果接近某个整数,使用 Floor 函数将其舍入。
Gamma 函数的对数导数。
Digamma 函数的导数或 Gamma 函数的对数二阶导数。






