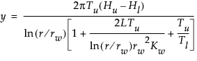
Worley (1987) 提出了一个通过钻孔(从地表到两个蓄水层钻一个孔)的水流模型。响应变量 y 是通过钻孔的流速,单位为米3/年,它的值通过以下等式计算:

在该模型中有八个因子:
rw = 钻孔的半径,为 0.05 到 0.15 米
r = 影响半径,为 100 到 50,000 米
Tu = 上部蓄水层的渗透系数,为 63,070 到 115,600 米2/年
Hu = 上部蓄水层的电位头,为 990 到 1100 米
Tl = 下部蓄水层的渗透系数,为 63.1 到 116 米2/年
Hl = 下部蓄水层的电位头,为 700 到 820 米
L = 钻孔长度,为 1120 到 1680 米
Kw = 钻孔导水系数,为 9855 到 12,045 米/年
您可以使用球堆积设计获取一组计算响应 y 的条件。然后您可以生成一个模型来估计在设计中使用的输入范围上的真实模型。评估估计的模型可以帮助了解八个因子各自对响应的影响。