对于竞争原因模型,聚合分布的闭型如下所示:

其中,Fi(x), i = 1, ¼, k 是与原因对应的单个失效分布。置信限是现成的,因为所有涉及的估计值都是 MLE。
若为某个原因指定了固定参数模型,您必须在该原因的“单个原因”报表中固定该参数。在“寿命分布 - 失效原因: <名称>”报表中的所需“参数估计值”报表中固定该参数。当您点击“更新模型”时,固定参数将成为聚合分布的一部分。
下例演示了如何在聚合分布中包含固定参数模型:
1. 选择帮助 > 样本数据库,然后打开 Reliability/Appliance.jmp。
2. 选择分析 > 可靠性和生存 > 寿命分布。
3. 选择时间周期并点击 Y,事件时间。
4. 选择原因编号并点击失效原因。
5. 将似然选作“置信区间方法”。
6. 选择允许失效模式使用固定参数模型。
7. 点击确定。
忽略了“原因 1”的固定参数模型
默认情况下,忽略“原因 = 1”,因为没有足够的数据。不过,您不希望忽略该原因。
8. 打开“原因 1”对应的“单个原因”报表。该报表称为“寿命分布 - 失效原因: 1 失效计数: 1”。
9. 点击“参数估计值 - Weibull”旁边的红色小三角并选择固定参数。
10. 选择 Weibull beta 并键入 2。
11. 点击更新。
指定了 Weibull Beta 的固定参数模型
在“参数估计值 - Weibull”报表中,假定 b 等于 2,alpha 参数估计为 22463.391。现在您可以将其用于“原因=1”的失效分布。
12. 向上滚动到报表窗口顶部的“原因组合”。
13. 为“原因 1”取消选择忽略。
14. 对于“原因 1”的分布,选择固定参数的 Weibull 分布。
15. 点击更新模型。
显示“原因 1”的更新模型
现在聚合模型在总体竞争原因模型中使用“原因 1”的“固定参数的 Weibull 分布”结果。
为某个原因指定 Bayes 模型的步骤类似于将固定参数模型指定为原因的分布中所述的步骤。在所需的“Bayes 估计”报表中定义该模型,该报表位于针对单个原因的“寿命分布”报表的“统计学”下方的相应“参数估计值”分级显示项中。请参见Bayes 估计 - <分布名称>。
要将 Bayes 模型并入聚合模型,其他原因的非 Bayes 分布必须能接受基于模拟的框架的处理。例如,假定某个模型具有两个失效原因。一个原因使用 Weibull 分布建模,另一个使用 Bayes 方法来估计第二个 Weibull 分布的参数。第一个 Weibull 分布的参数(由向量 q1 表示)使用最大似然来估计。第二个 Weibull 分布的参数 q2 使用 Bayes 方法来估计。
聚合混合分布(表示为 F(x, q1, q2)的分位数和中位数通过如下方式来获取:
• 对第一个 Weibull 分布执行参数 Bootstrap,生成来自最大似然估计值
的渐近分布的随机样本。将来自
的渐近分布的抽样值表示为
。
• 从 q2 的后验分布中抽取某个样本,表示为
。
• 对于
和
的每一组值,获取 F(x, q1, q2) 的估计值(表示为 F*(x, q1, q2)。
• 值 F*(x, q1, q2) 用于获取聚合分布的分位数和中位数的估计值。这些值是在给定的 x 值处显示在“分布刻画器”中的值。
为某个原因指定 Weibayes 模型的步骤类似于将固定参数模型指定为原因的分布中所述的步骤。 在针对该原因的“寿命分布”报表中的“统计学”下方的“参数估计值 - Weibull”分级显示项中,选择“固定参数”选项。在“固定参数”报表中,选中“Weibayes”选项。Weibayes 模型被视为 Bayes 模型,并且从参数 alpha 的后验分布中抽取 Bootstrap 样本。请参见 Liu and Wang (2013)。
使用红色小三角菜单中的“配置”选项可以为计算剩余寿命均值时使用的模拟失效时间的个数设置一个值。用 m 来表示该值。
要获取时间 t 处的剩余寿命均值的估计值,需要从聚合分布(以生存到时间 t 为条件)中抽取 m 个样本。然后计算这些样本的平均值。
要计算剩余寿命均值的置信限,您必须在“配置”窗口中选择该框。随后您可以选择设置 Bootstrap 样本数。用 n 来表示该值。
要计算置信区间,需要从 MLE 的渐近分布或使用 Bayes 推论推导出的后验分布中抽取 n 个参数估计值样本。对于每个参数值样本,都形成一个聚合分布,从中抽取 m 个样本来计算剩余寿命均值。使用 n 个剩余寿命均值的样本来构造置信区间。
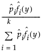
本节提供的公式用于计算“拟合混合模型”报表选项“保存预测”所保存的列中的值。
考虑以下符号:
是混合比例 wi 的估计值
是估计概率分布函数 Fi
是 Fi 的估计概率密度函数
• 若观测 y 未删失,保存值则由以下公式计算得出:

• 若观测删失,则通过用以下值替换未删失观测的公式中的估计密度值来得到保存值:
用于右删失
用于左删失
用于区间删失