仅当 X 恰好有两个水平时 Kolmogorov-Smirnov 检验才可用。该报表显示描述性统计量和检验结果。描述性统计量如下:
水平
X 的两个水平。
计数
每个水平的频数。
经验分布函数最大值
对于 X 的某个水平,给出两个经验累积分布函数 (EDF) 之间差值最大时该 X 值处的 EDF 的值。对于名为“合计”的行,给出两个经验累积分布函数 (EDF) 之间差值最大时该 X 值处的合并 EDF(整个数据集的 EDF)的值。
均值偏差最大值
对于每个水平,给出通过以下方式获取的值:
‒ 计算给定水平最大值处的 EDF 与合并数据集(合计)最大值处的 EDF 之间的差值。
‒ 用该水平中的观测数的平方根(作为“计数”提供)乘以该差值。
该报表给出该检验的详细信息。
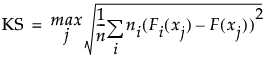
KS
Kolmogorov-Smirnov 统计量计算如下:

该公式使用以下符号:
‒ xj, j = 1,..., n 为观测
‒ ni 是 X 的第 i 个水平的观测数
‒ F 是合并累积经验分布函数
‒ Fi 是 X 的第 i 个水平的累积经验分布函数
即便 X 有两个以上水平,这一版本的 Kolmogorov-Smirnov 统计量也适用。不过请注意,仅当 X 恰好有两个水平时,JMP 才会执行 Kolmogorov-Smirnov 分析。
KSa
计算为
的渐近 Kolmogorov-Smirnov 统计量,其中,n 是观测总数。
D=max|F1-F2|
两个水平的 EDF 之间的最大绝对偏差。这是通常用于比较两个样本的 Kolmogorov-Smirnov 统计量版本。
概率 > D
检验的 p 值。这是在水平之间没有差异的原假设下 D 超过计算值的概率。
D+ = max(F1-F2)
关于第一组的水平超过第二组的水平的备择假设的单侧检验统计量。
概率 > D+
D+ 检验的 p 值。
D-=max(F2-F1)
关于第二组的水平超过第一组的水平的备择假设的单侧检验统计量
概率 > D-
D- 检验的 p 值。
Kolmogorov-Smirnov 精确检验对于 Kolmogorov-Smirnov 精确检验,该报表给出与渐近检验相同的统计量,但计算的 p 值很精确。