效应杠杆图亦称偏回归残差杠杆图 (Belsley et al. 1980) 或增加变量图 (Cook and Weisberg 1982)。Sall (1990) 推广了这些图,可应用于任何线性假设。
JMP 提供两类杠杆图:
• 效应杠杆图显示相对于以下假设的观测:关注的效应不在模型中,而其他所有效应都包含在模型中。
• 整体模型杠杆图(在“预测值-实际值”图报表中提供)显示相对于没有因子效应的假设下的观测。
在效应杠杆图中,只有一个效应假定为 0。但在整体模型“预测值-实际值”图中,所有效应都假定为 0。Sall (1990) 发表的论文将杠杆图理念推广到了任意线性假设,整体模型杠杆图就是其中的一个例子。该论文中的详细信息(在本节中进行了总结)具体表示为 JMP 中的上述两类图。
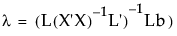
假定关注的可估计假设为

杠杆图通过以下方式刻画了该检验的特征:标绘各个点,让每个点与斜率回归线的距离显示无约束残差。与位于 0 处的水平线的距离显示拟合受到假设约束时的残差。这两组残差的平方和之间的差值是因假设导致的平方和。该值成为 F 检验的主成分。
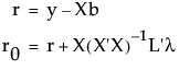
受假设约束的参数估计值可写为

在此,b 是最小二乘估计值

lambda 是假设约束的 Lagrangian 乘数,通过以下公式计算得出

无约束和受假设约束的残差分别为

对于每个观测,考虑水平轴值为 vx 且垂直轴值为 vy 的点,其中:
• vx 是受约束残差减去无约束残差 r0 - r,反映出应用约束后留下的信息
• vy 是水平轴值加上无约束残差
因此,这些点具有以下 x 坐标和 y 坐标
且 
这些点构成杠杆图的基础。杠杆图的构造 对此构造进行了演示,其中,响应均值为 0,实线的斜率为 1。
JMP 中的杠杆图在响应均值
处有一条水平虚线。标绘的点的坐标为:(vx +
, vy)。
杠杆图的构造
在简单线性回归中,您可以将响应期望值的置信限绘制为预测变量 x 的平滑函数
上限 (x) = 
下限 (x) = 
其中,x = [1 x] 是双向量的预测变量。
这些置信曲线给出了相应假设检验的显著性的直观估计,如比较杠杆图中显示的显著性 所示:
• 显著:若斜率参数与 0 存在显著差异,置信曲线将在响应均值处跨越水平线。
• 边界线:若斜率参数的 t 检验恰好落在显著性边缘上,则置信曲线在响应均值处渐近水平线。
• 不显著:若斜率参数与 0 没有显著差异,置信曲线不会在响应均值处跨越水平线。
杠杆图通过显示置信曲线来体现这种思路。对这些曲线进行了调整以使图适当中心化。用 z 来表示水平轴上的点。定义函数
上限(z) = 
且
下限(z) = 
其中,F 是假设的 F 统计量,Fα 是显著性水平 α 的参考值。
并且
,其中
是由预测变量的合适中间值(如其均值)构成的行向量。
这些函数的行为方式与简单线性回归的置信曲线相同:
• 若 F 统计量大于参考值,则置信函数与水平轴交叉。
• 若 F 统计量等于参考值,则置信函数以水平轴为渐近线。
• 若 F 统计量小于参考值,则置信函数不交叉。
此外,重要的是上限(z) - 下限(z) 对于 z 处的预测值而言为有效的置信区间。