模型汇总“模型汇总”报表说明您拟合的模型并提供有关拟合本身的汇总信息。
模型描述详细信息“模型汇总”报表的第一部分提供有关描述您拟合的模型的信息。
响应
“拟合模型”窗口中分配给 Y 角色的列。若使用两列指定区间删失,则会列出这两列的名称。
分布
在“拟合模型”窗口中选择的分布。对于“分位数回归”,还显示响应的指定分位数值。
估计方法
在“模型启动”面板中选择的估计方法。
验证方法
在“模型启动”面板中选择的验证方法。
“均值”模型连结
模型针对均值的连结函数(基于在“拟合模型”窗口中选择的分布)。
“位置”模型连结
模型针对位置参数的连结函数,当在“拟合模型”窗口中选择“Cauchy”作为分布时显示。
“尺度”模型连结
模型针对尺度参数的连结函数(基于在“拟合模型”窗口中选择的分布)。
“概率”模型连结
模型针对概率的连结函数(基于在“拟合模型”窗口中选择的分布)。
“离散”模型连结
模型针对离散参数的连结函数(基于在“拟合模型”窗口中选择的分布)。
“零泛滥”模型连结
模型针对零泛滥参数的连结函数(基于在“拟合模型”窗口中选择的分布)。
模型拟合详细信息“模型汇总”报表的第二部分显示与模型拟合有关的统计量。若选择“保留”或“验证列”作为“验证方法”,则为训练集和验证集单独计算这些统计量。若选择“K 重”或“留一法”作为“验证方法”,则“模型汇总”报表的这个部分不可用。
行数
行数。
频数和
“拟合模型”窗口中分配给“频数”或“权重”角色的列值之和。
注意:对于“-对数似然”、“BIC”、“AICc”和“ERIC”,值越小越好。请参见似然、AICc 和 BIC。
-对数似然
当前模型的似然函数的自然对数的负数。
注意:“-对数似然”对于“分位数回归”不可用。
目标函数
(仅可用于“分位数回归”。)该函数值被最小化用以拟合指定的分位数回归模型。最小化的函数是检查损失函数。
参数个数
当前模型中的非零参数数目。
BIC
Bayesian 信息准则:
。
AICc
校正的 Akaike 信息准则:
。
ERIC
(仅可用于指数系列分布以及指定了 Lasso 或自适应 Lasso 估计方法的情况。)扩展正则信息准则:
,其中,λ 是调节参数的值,φ 是冗余参数。请参见 Hui et al. (2015)。
广义 R 方
(不可用于“分位数回归”。)可应用到一般回归模型的一种扩展的 R 方测度。广义 R 方将拟合模型的似然 (LM) 与仅截距(常数)模型的似然 (L0) 进行比较。它统一尺度后具有最大值 1。对于“二项”之外的分布,广义 R 方按以下方式定义:

若“二项”为指定的分布,广义 R 方按以下方式定义:

广义 R 方值为 1 表示完美模型,值为 0 表示模型不比常数模型更好。对于在标准最小二乘设置中的连续正态响应,“广义 R 方”测度简化为传统 R 方。“广义 R 方”亦称 Nagelkerke/Craig and Uhler R2,它是 Cox and Snell 伪 R2 的标准化版本。请参见 Nagelkerke (1991)。
注意:指定“正态”分布时,“广义 R 方”将被“R 方”取代。
警告:对于使用不同响应分布的模型,不应比较广义 R 方值。只能比较具有给定响应分布的仅截距模型。
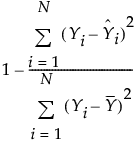
R 方
(仅当指定了“正态”分布时可用。)估计响应中可归因于模型而不是随机误差的变异比例。R 方值为 1 表示完美模型;值为 0 表示模型不比常数模型更好。R 方值计算如下:

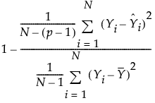
调整 R 方
(仅当指定“正态”分布且估计方法不涉及惩罚时才可用。)针对模型中的参数数目调整 R 方统计量。调整 R 方有利于包含不同数目参数的模型间进行比较。计算中使用自由度。调整 R 方值计算如下:

其中,N 是观测数,p 是参数个数。
注意:若有验证集,仅为训练集报告调整的 R 方统计量。
RMSE
(仅当指定了“正态”分布时可用。)均方根误差 (RMSE) 估计随机误差的标准差。该数量是当前模型中的误差平方和的均值平方根。
Lambda 惩罚
(仅适用于 Dantzig 选择器、Lasso、弹性网络、岭和双 Lasso 等估计方法。)当前模型的调节参数 λ 的值。请参见估计方法的统计详细信息。