指定设计详细信息并点击继续后,有三个新的分级显示项会添加到窗口中。
新增的分级显示节点
候选试验
输入加速因子的每个水平所允许的最小单元数和最大单元数。若是扩充以前的实验,对于每个设置,都需包括在“最小单元数”列中的每个水平上已运行的单元数。
平衡设计的参数方差
提供与平衡设计的加速模型参数估计值的协方差矩阵成比例的矩阵。
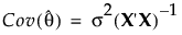
用 X 表示模型相对于参数 q 的一阶偏导矩阵。用 s2 表示误差方差。在一般条件下,q 的最小二乘估计量是渐近无偏的,渐近协方差矩阵如下所示:

“平衡设计的参数方差”分级显示项提供 (X‘X)-1,其中的导数要进行数值计算。计算假定在“先验均值”分级显示项中指定的值是真实的参数值。
请参见非线性模型。
分布刻画器
随着您更改加速因子和时间,支持您基于平衡设计探索失效概率。概率基于以下假设:在“先验均值”中指定的值是真实的参数值。
提示:若对“分布选择”、“先验均值”或“设计选择”做出更改,请点击更新刻画器更新刻画器。