“空间填充”混料设计将设计点分布在整个设计区域中。该设计支持线性约束。该设计采用类似于“实验设计”>“特殊目的”>“空间填充设计”下的“快速灵活填充”设计方法方式生成(快速灵活填充设计)。
两个“混料设计”红色小三角选项与空间填充设计相关:
FFF 最优性准则
对于“快速灵活填充”混料设计类型,支持您选择 MaxPro 准则(默认值)或重心法准则。请参见FFF 最优性准则。
高级选项 > 设置平均聚类大小
对于“快速灵活填充”混料设计类型,支持您指定用于定义每个聚类(或等效的每个设计点)的随机生成点的平均数。请参见设置平均聚类大小。
要创建一个示例空间填充设计,请执行以下步骤:
1. 选择实验设计 > 经典 > 混料设计。
2. (可选)要匹配该示例的输出,请点击“混料设计”红色小三角菜单,然后选择“设置随机种子”并输入 1409。
3. 在该示例中使用三个因子。无需对“因子”部分做出更改。
4. 点击继续。
5. 点击线性约束。
6. 在 X1 框中输入 0.7,在 X3 框中输入 1,将不等式方向更改为 ³ 并在约束框中输入 0.4。
该将 0.7X1+X3 约束为混料的至少 40%。
7. 在试验数框中输入 30。
8. 点击空间填充。
9. 点击制表。
10. 从设计表中,选择图形 > 三元图。
11. 选择 X1、X2 和 X3 并点击 X,绘图,然后点击确定。
带有一个线性约束的空间填充设计
使用重心 FFF 最优性准则构造该设计。请注意,点落在约束设计区域中,并且在整个约束设计区域中分布较为均匀。有关三元图的详细信息,请参见三元图概述。
“快速灵活填充”设计的算法最初会在指定设计区域内生成大量随机点。随后使用快速 Ward 算法将这些点聚类到个数与您指定的“试验次数”相同的聚类中。
可使用默认 MaxPro(最大投影)最优性准则或通过选择重心法准则来获取最终设计点。您可以在该报表的红色小三角菜单中的“FFF 最优性准则”下找到这些选项。
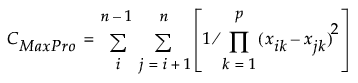
MaxPro
对于 p 个因子以及 n 等于指定“试验次数”的情况,MaxPro 准则尝试查找聚类中可最小化以下准则的点:

MaxPro 准则可在考虑所有因子的前提下,令可能设计点之间的距离乘积最大化。这样即可支持为因子投影提供良好的空间填充属性的目标。请参见 Joseph et al. (2015)。Max Pro 选项是默认选项。
重心法
该方法在每个聚类的重心放置一个设计点。它具有这样的属性:从设计空间中的任意点到其最近邻近设计点的平均距离比其他设计都要小。
注意:您可以设置首选项,以便始终使用给定的最优性准则。选择文件 > 首选项 > 平台 > 实验设计。选择“FFF 最优性准则”并选择您首选的准则。
设置平均聚类大小选项位于“混料设计”红色小三角菜单的“高级选项”下方。该选项支持您指定用来定义每个聚类(或等效的每个设计点)的均匀生成点的平均数。
默认情况下,若“空间填充”设计类型的试验次数为 200 或更小,则聚类算法以总共 10,000 个随机均匀生成的点作为基础。当试验次数超过 200 时,默认值为 50。增大该值尤其适用于因子数量较多的设计。
注意:根据因子数和为试验指定的值,您可能需要通过选择高级选项 > 设置平均聚类大小增大每个设计点的初始点平均数。
可以通过选择“线性约束”分级显示项中的线性约束选项限定设计区域。
当您指定线性约束时,构成聚类算法基础的随机点在受约束的设计区域内随机分布。聚类算法使用这些点。