Note: By default, the capability indices in the Long Term Sigma report use the Cp labeling that is used in the other sigma reports. To use Ppk labeling in the Long Term Sigma report, select the File > Preferences > Platforms > Distribution > PpK Capability Labeling preference.
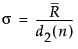
d2(n) is the expected value of the range of n independent normally distributed variables with unit standard deviation.
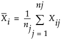
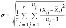
If r is the number of subgroups of size nj and each ith subgroup is defined by the order of the data, sigma is computed as follows:
(Appears only for capability analyses based on fitted distributions.) Uses the square root of the variance of the fitted distribution. For more information about the relationship between the parameters in the Parameter Estimates report and the expected value and variance of the fitted distributions, see Continuous Fit Distributions and Discrete Fit Distributions.
For a process characteristic with mean μ and standard deviation σ, the population-based capability indices are defined as follows.
LSL is the lower specification limit
USL is the upper specification limit
T is the target value
For sample-based capability indices, the parameters are replaced by their estimates. The estimate for σ uses the method that you specified in the Capability Analysis window. See Variation Statistics.
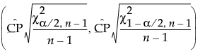
The 100(1 - α)% confidence interval for Cp is calculated as follows:
n is the number of observations
The 100(1 - α)% confidence interval for Cpk is calculated as follows:
n is the number of observations
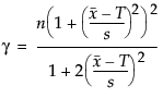
The 100(1 - α)% confidence interval for CPM is calculated as follows:
n is the number of observations
T is the target value
s is the long-term sigma estimate
The 100(1 - α)% confidence limits for CPL (denoted by CPLL and CPLU) satisfy the following equations:
tn-1(δ) has a non-central t-distribution with n - 1 degrees of freedom and noncentrality parameter δ
The 100(1 - α)% confidence limits for CPU (denoted by CPUL and CPUU) satisfy the following equations:
tn-1(δ) has a non-central t-distribution with n - 1 degrees of freedom and noncentrality parameter δ
LSL is the lower specification limit
USL is the upper specification limit
T is the target value
For the calculation of Cpm, μ and σ are estimated using the expected value and square root of the variance of the fitted distribution. For more information about the relationship between the parameters in the Parameter Estimates report and the expected value and variance of the fitted distributions, see Continuous Fit Distributions and Discrete Fit Distributions.
is the (1 - Pct/100)th quantile of a standard normal distributionLSL is the lower specification limit
USL is the upper specification limit
μ is the sample mean
σ is the sample standard deviation
Φ is the standard normal cumulative distribution function
statistics, and computes sigma as follows:

is the average of the moving ranges
where 






is the estimated value for Cp
is the (
is the estimated value for Cpk
is the (1 - 
is the estimated value for CPM
is the (
is the mean of the observations
where 
where 
is the estimated value for Cpl
where 
where 
is the estimated value for Cpu






= 3 * Cpl
= 3 * Cpu
is the (1 -