|
Shows the Correlation Probability report, which is a matrix of p-values. Each p-value corresponds to a test of the null hypothesis that the true correlation between the variables is zero. This is a test of no linear relationship between the two response variables.
|
|
|
The default confidence coefficient is 95%. Use the Set α Level option to change the confidence coefficient.
|
|
|
The diagonal elements of the matrix are a function of how closely the variable is a linear function of the other variables. In the inverse correlation, the diagonal is 1/(1 – R2) for the fit of that variable by all the other variables. If the multiple correlation is zero, the diagonal inverse element is 1. If the multiple correlation is 1, then the inverse element becomes infinite and is reported missing.
|
|
|
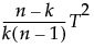
Hotelling’s T2 Test
|
Gives the value of the test statistic. If you have n rows and k variables, the F ratio is given as follows:
The p-value for the test. Under the null hypothesis the F ratio has an F distribution with n and n - k degrees of freedom.
|
|
Shows statistics that correspond to the estimation method selected in the launch window. If the REML, ML, or Robust method is selected, the mean vector and covariance matrix are estimated by that selected method. If the Row-wise method is selected, all rows with at least one missing value are excluded from the calculation of means and variances. If the Pairwise method is selected, the mean and variance are calculated for each column.
|
|
|
Set α Level
|
|
|
The Color Map menu contains three types of color maps.
Produces a cell plot that shows the significance of the correlations on a scale from p = 0 (red) to p = 1 (blue).
|
|
|
This menu contains options to show or hide a principal components report. You can select correlations, covariances, or unscaled. Selecting one of these options when another of the reports is shown changes the report to the new option. Select None to remove the report. This option is off by default.
Principal components is a technique to take linear combinations of the original variables. The first principal component has maximum variation, the second principal component has the next most variation, subject to being orthogonal to the first, and so on. For details, see the chapter Principal Components.
|
|
|
This menu contains options that each shows or hides an item reliability report. The reports indicate how consistently a set of instruments measures an overall response, using either Cronbach’s α or standardized α. These options are off by default.
|
|
See Local Data Filter, Redo Menus, and Save Script Menusin the Using JMP book for more information about the following options:
