|
•
|
Note: JMP does not use the Derringer and Suich (1980) functional forms. Because they are not smooth, they do not always work well with JMP’s optimization algorithm.
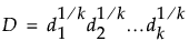
Denote the individual desirability functions for k responses by d1, d2,...,dk. Then the overall desirability function is the geometric mean of the individual desirability functions:
If Importance values are defined as part of the Response Limits column property or are defined in the Response Goal window, they are integrated into the overall desirability function. The Importance values are scaled so that they sum to 1. Denote the scaled importance values by w1, w2, ..., wk. Then the overall desirability is defined as a weighted geometric mean of the individual desirability functions:

