JMP 14.0 Online Documentation (English)
Discovering JMP
Using JMP
Basic Analysis
Essential Graphing
Profilers
Design of Experiments Guide
Fitting Linear Models
Predictive and Specialized Modeling
Multivariate Methods
Quality and Process Methods
Reliability and Survival Methods
Consumer Research
Scripting Guide
JSL Syntax Reference
JMP iPad Help
JMP Interactive HTML
Capabilities Index
JMP 13 Online Documentation
JMP 12 Online Documentation
Design of Experiments Guide
• Definitive Screening Designs
Previous
•
Next
Definitive Screening Designs
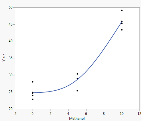
Definitive screening designs work for factor screening if you have any combination of continuous or two-level categorical factors. These designs are particularly useful if you suspect active two-factor interactions, or you suspect that a plot of a continuous factor’s effect on the response might exhibit strong curvature.
Definitive screening designs are small designs. For six or more factors, there are only about twice as many runs as factors. Yet, they often conclusively identify which of several factors affect the response. In particular, they can detect and identify any factors causing strong nonlinear effects on the response.
Here are areas where definitive screening designs are superior to standard screening designs:
•
They help identify the causes of nonlinear effects by fielding each continuous factor at three levels. In standard screening designs, continuous factors have only two levels. You can add center points to screening designs, but these points establish only if curvature exists. They do not allow you to identify the factors responsible for quadratic effects.
•
They avoid confounding between any effects up through the second order. For continuous factors, definitive screening designs have main effects that are orthogonal to each other and orthogonal to two-factor interactions and quadratic effects. Two-factor interactions are not completely confounded with each other. Confounding occurs in many standard screening designs with a similar number of runs.
•
They avoid the need for costly additional experimentation to resolve ambiguity from the initial results of standard screening designs.
Figure 6.1
Plot of Response against Factor Values Showing Curvature
Contents
Overview of Definitive Screening Design
Examples of Definitive Screening Designs
Definitive Screening Design
Comparison with a Fractional Factorial Design
Definitive Screening Design with Blocking
Comparison of a Definitive Screening Design with a Plackett-Burman Design
Definitive Screening Design Window
Responses
Factors
Design Options
Design
Design Evaluation
Output Options
Definitive Screening Design Options
Simulate Responses
Technical Details
Structure of Definitive Screening Designs
Analysis of Experimental Data
Previous
•
Next
Help created on 7/12/2018