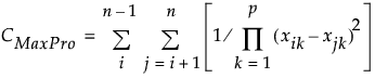
The final design points are obtained by optimizing the MaxPro (maximum projection) criterion over the existing and additional runs. For p factors and n equal to the number of existing and additional runs, the MaxPro criterion strives to find points in the clusters that minimize the following criterion:
