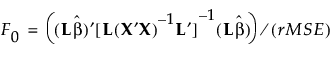
Matrix that defines the test for the categorical effect. The matrix L identifies the values of the parameters in β corresponding to the categorical effect and sets them equal to 0. The null hypothesis for the test of the categorical effect is given by:
Note: You can view the design matrix by running Fit Model. Then select Save Columns > Save Coding Table from the red triangle menu for the main report.
The covariance matrix of
is given by
, where σ2 is the error variance.
is given by
, where σ2 is the error variance.The error variance, σ2, is estimated by the MSE, and has
degrees of freedom, where n is the number of observations and p is the number of terms other than the intercept in the model.
degrees of freedom, where n is the number of observations and p is the number of terms other than the intercept in the model.If the true value of β is
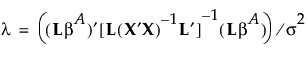
, then F0 has a noncentral F distribution with noncentrality parameter given by:
, then F0 has a noncentral F distribution with noncentrality parameter given by:




is given by:
degrees of freedom.

