JMP 14.0 Online Documentation (English)
Discovering JMP
Using JMP
Basic Analysis
Essential Graphing
Profilers
Design of Experiments Guide
Fitting Linear Models
Predictive and Specialized Modeling
Multivariate Methods
Quality and Process Methods
Reliability and Survival Methods
Consumer Research
Scripting Guide
JSL Syntax Reference
JMP iPad Help
JMP Interactive HTML
Capabilities Index
JMP 13 Online Documentation
JMP 12 Online Documentation
Design of Experiments Guide
•
Technical Details
• Relative Prediction Variance
Previous
•
Next
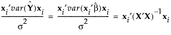
Relative Prediction Variance
Consider the following notation:
X
Model matrix. See
Model Matrix
in Custom Designs
. Custom designs provide a script that shows the model matrix. See
Save X Matrix
in Custom Designs
.
σ
2
Error variance.
Vector of least squares estimates of the parameters.
The
i
th
row of
X
.
Using this notation, the predicted response for the
i
th
row of
X
is given by:
The relative prediction variance at the settings defined by
is given by:
Previous
•
Next
Help created on 7/12/2018