|
•
|
For m future observations:
|
|
•
|
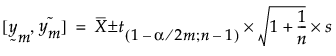
For the mean of m future observations:
|
|
•
|
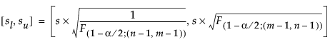
For the standard deviation of m future observations:
|
|
•
|
The one-sided intervals are formed by using 1-α in the quantile functions.
|
For more information, see Meeker et al. (2017, ch. 4).
for 
for
.
for 