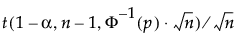
t is the quantile from the non-central t-distribution.
s = standard deviation and
is a constant.
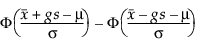
is a constant.To determine g, consider the fraction of the population captured by the tolerance interval. Tamhane and Dunlop (2000) give this fraction as follows:
where Φ denotes the standard normal c.d.f. (cumulative distribution function). Therefore, g solves the following equation:
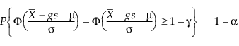
where 1-γ is the fraction of all future observations contained in the tolerance interval.


= 
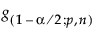
is the standard normal quantile.

