This section contains additional details related to an example of specifying a custom test in the Standard Least Squares personality of the Fit Model platform. In Example of a Custom Test, you are interested in testing three contrasts using the Cholesterol.jmp sample data table. Specifically, you want to compare:
• the mean responses for treatments A and B,
• the mean response for treatments A and B combined to the mean response for the control group,
• the mean response for treatments A and B combined to the mean response for the combined control and placebo groups.
To derive the contrast coefficients that you enter into the Custom Test columns, do the following. Denote the theoretical effects for the four treatment groups as αA, αB, αControl, and αPlacebo. These are the treatment effects, so they are constrained to sum to 0. Because the parameters associated with the indicator variables represent only the first three effects, you need to formulate your contrasts in terms of these first three effects. See Statistical Details for the Custom Test Example and Interpretation of Parameters.
The hypotheses that you want to test can be written in terms of model effects as follows:
• Compare treatment A to treatment B:

• Compare treatments A and B to the control group:

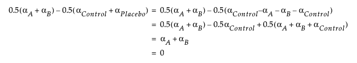
• Compare treatments A and B to the control and placebo groups:

To obtain contrast coefficients for this contrast, you need to write the placebo effect in terms of the model effects. Specifically, use the fact that
. Then
. It follows that:
