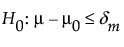
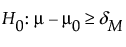
Use the Power for One Sample Equivalence of Means Explorer to determine a sample size for an equivalence, superiority, or non-inferiority test about one mean. Select DOE > Sample Size Explorers > Power > Power for One Sample Equivalence of Means. Explore the trade-offs between variability, sample size, power, significance, and the margin of interest. Sample size and power are associated with the following hypothesis test:
or 
versus the alternative:

where μ is the true mean, μ0 is the reference value, and (δm, δM) is the equivalence range for an equivalence test. For superiority or non-inferiority tests only one side of the alternative hypothesis is used. For the same significance level and power, a larger sample size is needed to detect a small difference than to detect a large difference. It is assumed that the population of interest is normally distributed with mean μ and standard deviation σ.
Set study assumptions and explore sample sizes by using the radio buttons, text boxes, and menus. The profiler updates as you make changes to the settings. Alternatively, you can change the settings by dragging the cross hairs on the profiler curves.
Test Type
Options to specify your test.
Equivalence
Specifies a test for equivalence of the mean to a reference value.
Superiority
Specifies a test for superiority of the mean to a reference value.
Non-inferiority
Specifies a test for non-inferiority of the mean to a reference value.
Upper Margin on Difference to Detect
(Available only for equivalence tests.) Specifies the maximum value, above which the mean is considered different from the reference value.
Lower Margin on Difference to Detect
(Available only for equivalence tests.) Specifies the minimum value, below which the mean is considered different from the reference value.
Use symmetric bounds
(Available only for equivalence tests.) Sets the margins to be symmetric.
Note: Typically, the equivalence range is symmetric.
Test Direction
(Available for superiority or non-inferiority tests.) Specifies the direction of the alternative hypothesis.
Upper is Better
Indicates that the alternative hypothesis is a greater than hypothesis.
Lower is Better
Indicates that the alternative hypothesis is a less than hypothesis.
Tip: Use the diagram to evaluate if your test is set up as desired. The red arrow depicts the direction of the null hypothesis while the blue arrow depicts the direction of the alternative hypothesis.
Margin
(Available for superiority or non-inferiority tests.) Specifies the absolute value of the superiority or non-inferiority margin.
Preliminary Information
Options to specify for your test.
Alpha
The probability of a type I error, which is the probability of rejecting the null hypothesis when it is true. It is commonly referred to as the significance level of the test. The default alpha level is 0.05.
Population Standard Deviation
Specifies the distribution for calculations.
Yes
Specifies a known standard deviation; calculations use the z distribution.
No
Specifies an unknown standard deviation; calculations use the t distribution.
The profiler enables you to visualize the impact of sample size assumptions on the power calculations.
Solve for
Enables you to solve for sample size, difference to detect, or the assumed standard deviation.
Power
Specifies the probability of rejecting the null hypothesis when it is false. With all other parameters fixed, power increases as sample size increases.
Sample Size
Specifies the total number of observations (runs, experimental units, or samples) that are needed your experiment.
Difference to Detect
Specifies the difference between the true mean and the hypothesized or reference mean such that the two means are considered equivalent, superior, or non-inferior.
Std Dev (σ)
The assumed population standard deviation.
The Explorer red triangle menu and report buttons provide additional options.
Simulate Data
Opens a data table of simulated data that are based on the explorer settings. View the simulated response column formula for the settings that are used.
Make Data Collection Table
Creates a new data table that you can use for data collection. The table includes scripts to facilitate data analysis.
Save Settings
Saves the current settings to the Saved Settings table. This enables you to save a set of alternative study plans. See Remembered Settings in the Sample Size Explorers.
Reset to Defaults
Resets all parameters and graphs to their default settings.
The power calculations for testing equivalence in one sample group is based on methods described in Chow et al. (2008).
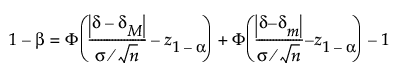
If σ is unknown, the power (1-β) is computed as follows:

If σ is known, then power (1-β) is computed as follows:

where:
α is the significance level
n is the sample size
σ is the assumed population standard deviation
δ is the difference to detect
(δm, δM) is the equivalence range
t1-α,n,is the (1 - α)th quantile of the central t-distribution with ν degrees of freedom
T(t; ν, λ) is the cumulative distribution function of the non-central t distribution with ν degrees of freedom and non-centrality parameter λ.