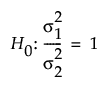
Use the Power for Two Independent Sample Variances Explorer to determine a sample size for a hypothesis test for variances from two groups. Select DOE > Sample Size Explorers > Power > Power for Two Independent Sample Variances. Explore the trade-offs between sample size, power, significance, and the hypothesized difference to detect. Sample size and power are associated with the following hypothesis test:

versus the two-sided alternative:

or versus a one-sided alternative:
or 
where σ12 is the variance for Group 1 and σ22 is the variance for Group 2. For the same significance level and power, a larger sample size is needed to detect a small difference in variances than to detect a large difference. It is assumed that the populations of interest are normally distributed.
Set study assumptions and explore sample sizes by using the radio buttons, text boxes, and menus. The profiler updates as you make changes to the settings. Alternatively, you can change the settings by dragging the cross hairs on the profiler curves.
Test Type
Specifies a one- or two-sided hypothesis test.
Alpha
Specifies the probability of a type I error, which is the probability of rejecting the null hypothesis when it is true. It is commonly referred to as the significance level of the test. The default alpha level is 0.05.
The profiler enables you to visualize the impact of sample size assumptions on the power calculations. Interactive profiler changes to the sample sizes or standard deviations update the calculated power. Interactive changes to the profiler power update the sample sizes. To solve for a specific variable, use the target variable setting and click Go.
Target Variable
Enables you to solve for a sample size or a group standard deviation at a specified power.
Power
Specifies the probability of rejecting the null hypothesis when it is false. With all other parameters fixed, power increases as sample size increases.
Ratio of Group 2 to Group 1 Sample Size
Specifies the ratio between group sample sizes. For equal group sample sizes, set to one.
Note: The ratio can shift as you explore changes to the assumptions due to the mathematical search routines.
Total Sample Size
Specifies the total number of observations (runs, experimental units, or samples) that are needed for your experiment.
Group 1 Sample Size
Specifies the number of observations (runs, experimental units, or samples) that are needed for Group 1 in your experiment.
Group 2 Sample Size
Specifies the number of observations (runs, experimental units, or samples) that are needed for Group 2 in your experiment.
Group 1 Std Dev (Noise)
Specifies the assumed standard deviation for one of your groups, Group 1.
Group 2 Std Dev (Noise)
Specifies the assumed standard deviation for the second group, Group 2.
The Explorer red triangle menu and report buttons provide additional options.
Simulate Data
Opens a data table of simulated data that are based on the explorer settings. View the simulated response column formula for the settings that are used. Run the table script to analyze the simulated data.
Make Data Collection Table
Creates a new data table that you can use for data collection. The table includes scripts to facilitate data analysis.
Remember Settings
Saves the current settings to the Remembered Settings table. This enables you to save a set of alternative study plans. See Remembered Settings in the Sample Size Explorers.
Reset to Defaults
Resets all parameters and graphs to their default settings.
The Profiler red triangle menu contains the following option:
Optimization and Desirability
Enables you to optimize settings. See “Desirability Profiling and Optimization” in Profilers.
Note: The sample size explorer report can be saved as a *.jmpdoe file. Open the file to return to the explorer. An alert prompts you to save the file.
In this example, use the Power Explorer for Two Independent Sample Variances to evaluate how large of a difference in standard deviations can be detected with a total sample size of 50 samples. You desire at least 80% power to test for the difference in variances at a significance level of α = 0.05.
1. Select DOE > Sample Size Explorers > Power > Power for Two Independent Sample Variances.
2. Leave Test Type set to Two-Sided.
3. Leave Alpha set to 0.05.
4. Set Target Variable to Group 2 Std Dev (Noise).
5. Leave Power set to 0.8.
6. Leave Ratio of Group 2 to Group 1 Sample Size set to 1 for equal group sizes.
7. In the profiler, set Total Sample Size to 50.
Note that the values for Power and Group 2 Std Dev (Noise) updated.
8. Click Go to solve for the value of Group 2 Std Dev (Noise) with Power equal to 0.8.
Figure 29.6 Two Independent Sample Variances Explorer
With a total sample size of 50, with 25 in each group, you should be able to detect standard deviations that are 0.79 standard deviation units apart.
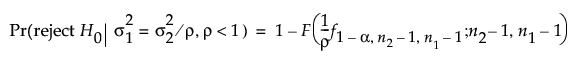
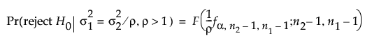
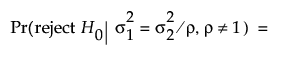
The power calculations for testing the ratio of variances from two sample groups is based on the standard F test. The calculations depend on the form of the alternative hypothesis.
For a one-sided, higher alternative (σ12 > σ22):

For a one-sided, lower alternative (σ12 < σ22):

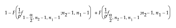
For a two-sided alternative (σ12 ≠ σ22):


where:
α is the significance level
n1 and n2 are the group sample sizes
ρ = σ22/σ12
f1-α,ν1,ν2 is the (1 - α)th quantile of an F distribution with ν1 and ν2 degrees of freedom.
F(x, ν) is the cumulative distribution function of an F distribution with ν degrees of freedom.