|
1.
|
Choisissez Aide > Bibliothèque d'échantillons de données et ouvrez le fichier Anscombe.jmp (F. J. Anscombe (1973), American Statistician, 27, 17-21).
|
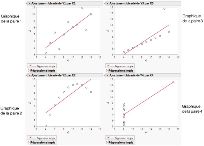
Le script crée une régression linéaire simple sur chaque paire de variables en utilisant Ajuster Y en fonction de X. L’option Afficher les points est désactivée, de sorte qu'aucune donnée n'est visible dans les nuages de points. La Figure 5.2 Quatre modèles illustre pour chaque régression l'ajustement du modèle ainsi que d’autres informations récapitulatives.
Figure 5.2 Quatre modèles
Vous remarquerez que les quatre modèles et les valeurs de R carré sont presque identiques. Dans chaque cas, le modèle ajusté indique à peu de choses près que Y = 3 + 0,5X, et que la valeur de R carré est 0,66. Si votre analyse n’avait pris en compte que les informations récapitulatives ci-dessus, vous en auriez probablement conclu que la relation entre X et Y était la même dans chaque cas. Cependant, à ce stade, vous n’avez pas encore visualisé vos données. Votre conclusion pourrait être erronée.
|
2.
|
Figure 5.3 Nuages de points affichant avec les points
Les nuages de points indiquent que la relation entre X et Y n’est pas la même pour les quatre paires, même si les lignes décrivant les relations sont les mêmes :

