JMP 14.2オンラインマニュアル
はじめてのJMP
JMPの使用法
基本的な統計分析
グラフ機能
プロファイル機能
実験計画(DOE)
基本的な回帰モデル
予測モデルおよび発展的なモデル
多変量分析
品質と工程
信頼性/生存時間分析
消費者調査
スクリプトガイド
スクリプト構文リファレンス
JMP iPad Help (英語)
JMP Interactive HTML (英語)
機能インデックス
JMP統計機能ガイド
このバージョンのヘルプはこれ以降更新されません。最新のヘルプは
https://www.jmp.com/support/help/ja/15.2
からご覧いただけます。
基本的な統計分析
•
分割表分析
•
「分割表」プラットフォームの統計的詳細
• [一致性の統計量]オプション
前へ
•
次へ
[一致性の統計量]オプション
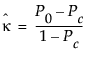
2名の評価者が、
n
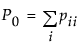
個の対象を判定したとします。2人の判定者の判定が完全に一致している場合は、カッパ係数が1になります。観測された一致が、偶然によって一致する期待値を上回ると、カッパ係数は正の値になります。カッパ係数が大きいほど、一致性の高いことを示します。実際にはほとんどあり得ませんが、観測された一致が、偶然によって一致する期待値を下回ると、カッパは負になります。カッパ係数の最小値は、周辺度数に応じて-1から0までの間の値を取ります。
カッパ係数は、次式により計算されます。
この式で、
および
ここで、
は
番目のセルの個体の比率であり、
が成り立つことに注意してください。
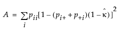
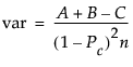
単純なカッパ係数の漸近分散は、次のような推定式で計算されます。
この式で
、
および
Cohen(
1960
)とFleiss et al.(
1969
)を参照してください。
対称性に対するBowker検定は、「分割表における確率が対称である(
p
ij
=
p
ji
である)」という帰無仮説を検定します。