JMP 14.2オンラインマニュアル
はじめてのJMP
JMPの使用法
基本的な統計分析
グラフ機能
プロファイル機能
実験計画(DOE)
基本的な回帰モデル
予測モデルおよび発展的なモデル
多変量分析
品質と工程
信頼性/生存時間分析
消費者調査
スクリプトガイド
スクリプト構文リファレンス
JMP iPad Help (英語)
JMP Interactive HTML (英語)
機能インデックス
JMP統計機能ガイド
このバージョンのヘルプはこれ以降更新されません。最新のヘルプは
https://www.jmp.com/support/help/ja/15.2
からご覧いただけます。
基本的な統計分析
•
分割表分析
•
「分割表」プラットフォームの統計的詳細
• [オッズ比]オプション
前へ
•
次へ
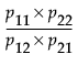
[オッズ比]オプション
オッズ比は次の式で計算されます。
上の式で、
p
ij
は2×2分割表の第
i
行第
j
列の度数です。