JMP 14.2オンラインマニュアル
はじめてのJMP
JMPの使用法
基本的な統計分析
グラフ機能
プロファイル機能
実験計画(DOE)
基本的な回帰モデル
予測モデルおよび発展的なモデル
多変量分析
品質と工程
信頼性/生存時間分析
消費者調査
スクリプトガイド
スクリプト構文リファレンス
JMP iPad Help (英語)
JMP Interactive HTML (英語)
機能インデックス
JMP統計機能ガイド
このバージョンのヘルプはこれ以降更新されません。最新のヘルプは
https://www.jmp.com/support/help/ja/15.2
からご覧いただけます。
基本的な統計分析
•
分割表分析
•
「分割表」プラットフォームの統計的詳細
• 「検定」レポート
前へ
•
次へ
「検定」レポート
R2乗(U)
R2乗(U)は次の式で計算されます。
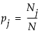
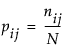
分母の「(-1)*対数尤度」は、標本全体において応答確率が一定であるモデルのものです。
検定
次の2種類の検定が行われます。
「尤度比」カイ2乗検定の検定等計量は、「検定」レポートに表示されている「(-1)*対数尤度」を2倍した値です。この「(-1)*対数尤度」は、グループごとに応答確率をあてはめたモデルの対数尤度から、標本全体において応答確率が一定であるモデルの対数尤度を引いたものです。尤度比カイ2乗値は、
G
2
という記号で示されることがあり、 次式で求めます。
この式で、
および
この式は簡略に次式のようにも表せます。
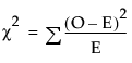
「Pearson」カイ2乗検定の検定統計量は、各セルにおける観測度数と期待度数の差の平方和から計算されます。Pearsonのカイ2乗検定は、大標本では度数が正規分布に従う傾向にあるという性質を用いています。Pearsonのカイ2乗統計量を算出するには、次式がよく知られています。
上式において、Oはセルの観測度数、Eはセルの期待度数です。和記号は、すべてのセルの合計を表しています。2×2分割表に対してときどき採用されている連続修正は、JMPでは行っていません。