2つの経験累積分布関数(EDF)の差が最大になるときの、各水準のEDFの値。「合計」という行には、2つのEDFの差が最大になるときの、プーリングしたEDF(データセット全体のEDF)の値が示されます。
|
–
|
|
–
|
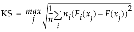
niは、Xのi番目の水準の標本サイズ
|
|
–
|
Fは、プーリングした経験累積分布関数
|
|
–
|
漸近的なKolmogorov-Smirnov統計量。
で求められます。ここで、nは全体のオブザベーション数です。
で求められます。ここで、nは全体のオブザベーション数です。両側検定のp値。「2群の分布はまったく同じである」という帰無仮説のもとで、Dが求められた値よりも大きくなる確率です。
D+に基づく検定のp値。
D-に基づく検定のp値。

