このバージョンのヘルプはこれ以降更新されません。最新のヘルプは https://www.jmp.com/support/help/ja/15.2   からご覧いただけます。


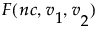
検出力を計算するには、非心度のF分布を使用します。計算式は、次のとおりです(O’Brien and Lohr 1984)。
Power = Prob(F > Fcrit, ν1, ν2, nc)
上の式は、非心度パラメータnc、分子自由度ν1、分母自由度n2のF分布に従う確率変数が、Fcritよりも大きくなる確率を指します。はn1およびν2の自由度を持つF分布の累積確率1 - αにおける分位点です。
ν1 = r-1は分子自由度。
ν2 = r(n - 1)は分母自由度。
nは、各グループの標本サイズ。
rはグループの数。
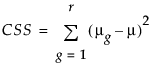
nc = n(CSS)/σ2は非心度パラメータ。
μgg番目のグループの平均。
μは全体平均。
σ2は誤差の分散。