「計画の診断統計量」アウトラインには、比較対象の計画に対する基準の計画のD効率・G効率・A効率・I効率が表示されます。「追加実験のサイズ」も表示されます。2つの計画を比較したとき、相対効率の指標が高い方が良い計画といえます。
図16.29 3つの計画の診断統計量
3つの計画の診断統計量は、第 “異なる実験回数の計画”で作成された、「モデル」アウトラインに主効果だけを含む3つの計画の「計画の診断統計量」レポートです。
「計画の診断統計量」レポートには、D効率・G効率・A効率・I効率に関して、相対効率が求められています。相対効率は、各計画の効率を計算し、それらの比を求めたものです。相対効率については、第 “相対効率の指標”を参照してください。
|
•
|
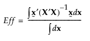
Xは、モデル行列
|
|
•
|
pは、切片を含めたモデル項の個数
|
|
•
|
メモ: 「G効率」は、計画領域のモンテカルロ標本を使って計算されます。
(予測分散の最大値)は、モンテカルロ標本における最大値から求められています。そのため、同じ計画でも結果が若干異なることがあります。
(予測分散の最大値)は、モンテカルロ標本における最大値から求められています。そのため、同じ計画でも結果が若干異なることがあります。計算について詳しくは、Goos and Jones(2011)の節4.3.5を参照してください。

は、点
における相対的な予測分散。


