JMP 14.2オンラインマニュアル
はじめてのJMP
JMPの使用法
基本的な統計分析
グラフ機能
プロファイル機能
実験計画(DOE)
基本的な回帰モデル
予測モデルおよび発展的なモデル
多変量分析
品質と工程
信頼性/生存時間分析
消費者調査
スクリプトガイド
スクリプト構文リファレンス
JMP iPad Help (英語)
JMP Interactive HTML (英語)
機能インデックス
JMP統計機能ガイド
このバージョンのヘルプはこれ以降更新されません。最新のヘルプは
https://www.jmp.com/support/help/ja/15.2
からご覧いただけます。
実験計画(DOE)
•
技術的詳細
• 相対的な予測分散
前へ
•
次へ
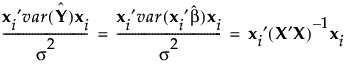
相対的な予測分散
次のような表記を使用します。
X
計画行列(デザイン行列)。
「カスタム計画」章の
「モデル行列」
(103ページ)
を参照してください。「カスタム計画」プラットフォームで作成されたデータテーブルには、モデル行列を表示するスクリプトがあります。計画行列は、モデル行列に似ています。
「カスタム計画」章の
「X行列の保存」
(103ページ)
を参照してください。
σ
2
誤差分散。
最小2乗法で求めたパラメータ推定値のベクトル。
X
の
i
番目の行。
この表記を使うと、
X
の第
i
行に対する応答の予測値は、次式によって求められます。
における相対的な予測分散は、次式によって求められます。