このバージョンのヘルプはこれ以降更新されません。最新のヘルプは https://www.jmp.com/support/help/ja/15.2   からご覧いただけます。


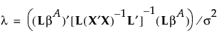
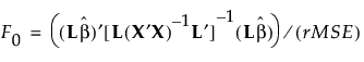
カテゴリカルな効果の検定を定義する行列。行列Lは、カテゴリカルな効果に対応するβを特定し、それらが0であるという帰無仮説を構成します。カテゴリカルな効果に対する検定の帰無仮説は、次のように表されます。
Lのランク。つまり、rは、カテゴリカルな効果の水準数から1を引いた値です。
誤差分散のσ2は、平均2乗誤差(MSE; Mean Squared Error)によって推定され、自由度はです。ここで、nは標本サイズ、pは切片を除くモデル項の数です。
帰無仮説の下では、検定統計量F0は、分子自由度がrで、分母自由度がF分布に従います。
βの真値がである場合、F0は次のような非心パラメータを持つ非心F分布に従います。