JMP 14.2オンラインマニュアル
はじめてのJMP
JMPの使用法
基本的な統計分析
グラフ機能
プロファイル機能
実験計画(DOE)
基本的な回帰モデル
予測モデルおよび発展的なモデル
多変量分析
品質と工程
信頼性/生存時間分析
消費者調査
スクリプトガイド
スクリプト構文リファレンス
JMP iPad Help (英語)
JMP Interactive HTML (英語)
機能インデックス
JMP統計機能ガイド
このバージョンのヘルプはこれ以降更新されません。最新のヘルプは
https://www.jmp.com/support/help/ja/15.2
からご覧いただけます。
実験計画(DOE)
•
技術的詳細
•
検出力の計算
• 1つのパラメータに対する検出力
前へ
•
次へ
1つのパラメータに対する検出力
この節では、1つのパラメータに対する検定の検出力について説明します。次のような表記を使用します。
X
計画行列(デザイン行列)。名義尺度の効果のコード変換については、『基本的な回帰モデル』の
「標準最小2乗法」章を参照してください。また、
「カスタム計画」章の
「モデル行列」
(103ページ)
も参照してください。
メモ:
計画行列を表示するには、[モデルのあてはめ]を実行します。その後、レポートの赤い三角ボタンのメニューから
[列の保存]>[コーディングのテーブルを保存]
を選択します。
β
ι
調べたい項に対応するパラメータ。
最小2乗法で求めたβ
i
の推定値。
「係数の予想値」の値。検出したい差は
です。
の分散は、
の
i
番目の対角要素で与えられます。ここで、σ
2
は誤差分散です。
の
i
番目の対角要素を
とします。
誤差分散のσ
2
は、平均2乗誤差(MSE; Mean Squared Error)によって推定され、その自由度は
です。ここで、
n
は標本サイズ、
p
は切片を除くモデル項の数です。
の検定に対する検定統計量であるt値は、次のようになります。
これは次のようなF値による検定と等価です。
帰無仮説の下では、検定統計量
F
0
は、分子自由度が
1
で、分母自由度が
の
F
分布に従います。
もし
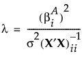
の真値が
である場合、
F
0
は次のような非心パラメータを持つ非心
F
分布に従います。
検定の検出力を求めるには、まず、次に示す有意水準の等式を満たす棄却値
F
c
を求めます。
そして、次式で検出力を計算します。